# erzeuge Datenframe
df <- data.frame(Kinder = c(1, 2, 4, 2, 2, 2, 3, 2, 1, 1, 0, 2, 2, 0,
2, 2, 1, 2, 2, 3, 1, 2, 2, 1, 2))45 Lösungen Häufigkeitsverteilungen
Hier finden Sie die Lösungen zu den Übungsaufgaben von Kapitel 44.
Die hier vorgestellten Lösungen stellen immer nur eine mögliche Vorgehensweisen dar und sind sicherlich nicht der Weisheit letzter Schluss. In R führen viele Wege nach Rom, und wenn Sie mit anderem Code zu den richtigen Ergebnissen kommen, dann ist das völlig in Ordnung.
45.1 Lösung zur Aufgabe 44.1.1
Kinder und übertragen Sie die Daten.
# erzeuge Datenframe
table(df$Kinder)
0 1 2 3 4
2 6 14 2 1
# oder
xtabs(~Kinder, data=df)Kinder
0 1 2 3 4
2 6 14 2 1
# Balkendiagramm mit R-Base
barplot(table(df$Kinder), col="skyblue", xlab="Anzahl Kinder")
# mit ggplot
ggplot(df, aes(x=Kinder)) +
geom_bar(fill="skyblue", color="black")
## zu Fuß
# kumulierte absoulte Häufigkeiten
cumsum(table(df$Kinder)) 0 1 2 3 4
2 8 22 24 25
# relative Häufigkeiten
(table(df$Kinder)/length(df$Kinder))*100
0 1 2 3 4
8 24 56 8 4
# kumulierterelative Häufigkeiten
cumsum(table(df$Kinder)/length(df$Kinder))*100 0 1 2 3 4
8 32 88 96 100
## einfacher
# erzeuge vollständige Häufigkeitstabelle
jgsbook::freqTable(df$Kinder) Wert Haeufig Hkum Relativ Rkum
1 0 2 2 8 8
2 1 6 8 24 32
3 2 14 22 56 88
4 3 2 24 8 96
5 4 1 25 4 100
45.2 Lösung zur Aufgabe 44.1.2
Patienten und übertragen Sie die Daten.
# erzeuge Datenframe
df <- data.frame(Patienten = c(15, 23, 12, 10, 28, 50, 12, 17, 20,
21, 18, 13, 11, 12, 26, 30, 6, 16,
19, 22, 14, 17, 21, 28, 9, 16, 13,
11, 16, 20))# Boxplot mit Rbase
boxplot(df$Patienten, col="seagreen3", ylab="Anzahl Patienten")
# Boxplot mit ggplot
ggplot(df, aes(y=Patienten)) +
geom_boxplot(fill="seagreen3") +
# whiskers
stat_boxplot(geom="errorbar") +
theme(axis.ticks.x=element_blank(),
axis.text.x=element_blank())
Es ist ein Ausreißer enthalten.
# entferne Ausreißer für weiteres Vorgehen
df <- subset(df, Patienten < 50)# klassiere in 5 Gruppen
gruppen <- cut(df$Patienten, breaks = 5, ordered_result = TRUE)
# Häufigkeitstabelle
table(gruppen)gruppen
(5.98,10.8] (10.8,15.6] (15.6,20.4] (20.4,25.2] (25.2,30]
3 9 9 4 4
# Histogram mit Rbase
hist(df$Patienten, col="pink")
# mit ggplot werden andere Breaks erzeugt
ggplot(df, aes(x=Patienten)) +
geom_histogram(fill="pink", color="black",
bins=5)
# also die Klassengrenzen manuell festlegen
ggplot(df, aes(x=Patienten)) +
geom_histogram(fill="pink", color="black",
breaks=c(5, 10, 15, 20, 25, 30))
Mit R base können wir wie folgt vorgehen.
# 1. kumulierte absolute Häufigkeiten
#------------------------------------
# speichere Histogramm in Objekt h
h <- hist(df$Patienten, plot=FALSE)
# ersetze die Zellen durch kumulierte Häufigkeiten
h$counts <- cumsum(h$counts)
# plotte das kumulative Histogram
plot(h, col="hotpink", main = "kumulierte Häufigkeiten")
# füge Polygonzug hinzu
lines(c(0, h$mids),c(0,h$counts), col="blue") # type="s"
# 2. Histogram der relativen Häufigkeiten #
##----------------------------------------#
# speichere Histogramm in Objekt h
h <- hist(df$Patienten, plot=FALSE)
# relative Häufigkeiten
h$counts <- h$counts/sum(h$counts)
### plot
plot(h, col="hotpink", main = "Relative Häufigkeiten",
ylab = "Relative Häufigkeit" )
# Polygon hinzufügen
lines(h$breaks, c(0, h$counts), col = "blue") # add type="s" if you like
# 3. Histogram der kumulierten relativen Häufigkeiten #
##----------------------------------------------------#
# speichere Histogramm in Objekt h
h <- hist(df$Patienten, plot=FALSE)
# kumulative relative Häufigkeiten
h$counts <- cumsum(h$counts)/sum(h$counts)
### plot
plot(h, col="hotpink", main = "Kumulierte relative Häufigkeiten",
ylab = "Relative Häufigkeit" )
# Polygon hinzufügen
lines(h$breaks, c(0, h$counts), col = "blue") # add type="s" if you like
Im Tidyverse können wir so vorgehen.
### Mittels ggplot()
# Klassengrenzen festlegen
breaks = c(5, 10, 15, 20, 25, 30)
# kumulierte Häufigkeiten
ggplot(df, aes(x=Patienten)) +
ylab("Häufigkeiten")+
geom_histogram(aes(y=cumsum(after_stat(count))),
fill="hotpink", color="black",
breaks=breaks) +
stat_bin(aes(y=cumsum(after_stat(count))),
breaks=breaks,
geom="line", color="blue", linewidth=1.5) # oder geom="step"
# relative Häufigkeiten
ggplot(df, aes(x=Patienten))+
ylab("relative Häufigkeiten")+
geom_histogram(aes(y=after_stat(count)/sum(after_stat(count))),
breaks=breaks, fill="hotpink2", color="black") +
geom_freqpoly(aes(y=after_stat(count)/sum(after_stat(count))),
breaks=breaks, color="blue", linewidth=1.5)
# kumulierte relative Häufigkeiten
ggplot(df, aes(x=Patienten)) +
ylab("relative Häufigkeiten")+
geom_histogram(aes(y=cumsum(after_stat(count)/sum(after_stat(count)))),
breaks=breaks, fill="hotpink3", color="black") +
stat_bin(aes(y=cumsum(after_stat(count)/sum(after_stat(count)))),
breaks=breaks,
geom="step", color="blue", linewidth=1.5) # oder geom="line"
45.3 Lösung zur Aufgabe 44.1.3
Blutgruppe und übertragen Sie die Daten.
# Übertrage Daten
df <- data.frame(Blutgruppe = factor(c("A", "B", "B", "A", "AB", "0", "0", "A",
"B", "B", "A", "A", "A", "A", "AB", "A",
"A", "A", "B", "0", "B", "B", "B", "A",
"A", "A", "0", "A", "AB", "0")))table(df$Blutgruppe)
0 A AB B
5 14 3 8
# mit R base
pie(table(df$Blutgruppe),
labels = paste(levels(df$Blutgruppe),"=",
as.numeric(table(df$Blutgruppe))
)
)
# für ggplot benötigen wir ein Hilfsdatenframe
df2 <- as.data.frame(table(df$Blutgruppe))
colnames(df2) <- c("Blutgruppe", "Wert")
ggplot(df2, aes(x="", y=Wert, fill=Blutgruppe)) +
geom_col(color="black") +
# Werte schreiben
geom_text(aes(label = Wert),
position = position_stack(vjust = 0.5)) +
# verbiege zu Kreisdiagramm
coord_polar(theta="y") +
# entferne Achsen und Ticks
theme_void()
45.4 Lösung zur Aufgabe 44.1.4
Alter und Familienstand und übertragen Sie die Daten.
df <- data.frame(Alter = c(31, 45, 35, 65, 21, 38, 62, 22, 31,
72, 39, 62, 59, 25, 44, 54,
80, 68, 65, 40, 78, 69, 75,
31, 65, 59, 58, 50),
Familienstand = c( rep("Single", 9),
rep("Verheiratet", 7),
rep("Verwitwet", 7),
rep("Geschieden", 5)
)
)Familienstand eine Häufigkeitstabelle des Alters.
# Singles
df2 <- subset(df, Familienstand=="Single")
table(df2$Alter)
21 22 31 35 38 45 62 65
1 1 2 1 1 1 1 1
# Verheiratet
df2 <- subset(df, Familienstand=="Verheiratet")
table(df2$Alter)
25 39 44 54 59 62 72
1 1 1 1 1 1 1
# Verwitwet
df2 <- subset(df, Familienstand=="Verwitwet")
table(df2$Alter)
40 65 68 69 75 78 80
1 1 1 1 1 1 1
# Geschieden
df2 <- subset(df, Familienstand=="Geschieden")
table(df2$Alter)
31 50 58 59 65
1 1 1 1 1
Familienstand eine Boxplot des Alters. Gibt es Ausreißer? In welcher Gruppe streut das Alter am meisten?
Mit R base können wir so vorgehen.
# Singles
df2 <- subset(df, Familienstand=="Single")
boxplot(df2$Alter, main="Alter der Singles", col="seagreen")
# Verheiratet
df2 <- subset(df, Familienstand=="Verheiratet")
boxplot(df2$Alter, main="Alter der Verheirateten", col="skyblue2")
# Verwitwet
df2 <- subset(df, Familienstand=="Verwitwet")
boxplot(df2$Alter, main="Alter der Verwitweten", col="lightsalmon4")
# Geschieden
df2 <- subset(df, Familienstand=="Geschieden")
boxplot(df2$Alter, main="Alter der Geschiedenen", col="maroon3")
Oder alle auf einmal:
boxplot(Alter ~ Familienstand , data=df,
col=c("maroon3", "seagreen", "skyblue2", "lightsalmon4"))
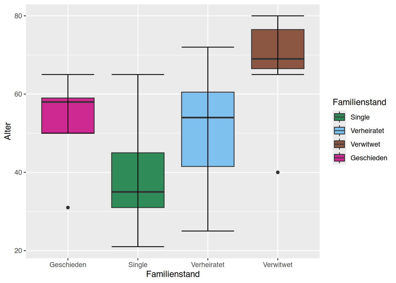
Es sind Ausreißer erkennbar in der Gruppe der Verwitweten und der Geschiedenen.
Im Tidyverse können wir so vorgehen:
ggplot(df, aes(y=Alter, x=Familienstand)) +
geom_boxplot(aes(fill=Familienstand)) +
stat_boxplot(geom="errorbar")+
scale_fill_manual(values=c("seagreen", "skyblue2",
"lightsalmon4", "maroon3"),
breaks=c("Single", "Verheiratet",
"Verwitwet", "Geschieden"))
Auch hier sind die Ausreißer in den Gruppen der Verwitweten und der Geschiedenen erkennbar.
Familienstand eine Histogram des Alters. Wie unterscheiden sich die Histogramme?
Mit R base können wir so vorgehen
# Singles
df2 <- subset(df, Familienstand=="Single")
hist(df2$Alter, main="Alter der Singles", col="seagreen")
# Verheiratet
df2 <- subset(df, Familienstand=="Verheiratet")
hist(df2$Alter, main="Alter der Verheirateten", col="skyblue2")
# Verwitwet
df2 <- subset(df, Familienstand=="Verwitwet")
hist(df2$Alter, main="Alter der Verwitweten", col="lightsalmon4")
# Geschieden
df2 <- subset(df, Familienstand=="Geschieden")
hist(df2$Alter, main="Alter der Geschiedenen", col="maroon3")
Im Tidyverse können wir so vorgehen:
breaks = c(seq(10,80,10))
ggplot(df, aes(x=Alter, fill=Familienstand)) +
geom_histogram(breaks=breaks, color="black")+
scale_fill_manual(values=c("seagreen", "skyblue2",
"lightsalmon4", "maroon3"),
breaks=c("Single", "Verheiratet",
"Verwitwet", "Geschieden"))+
facet_wrap(~Familienstand)
45.5 Lösung zur Aufgabe 44.1.5
# erzeuge Daten
Verletzung <- c(0, 1, 2, 1, 3, 0, 1, 0, 1, 2, 0, 1, 1, 1, 2, 0,
1, 3, 2, 1, 2, 1, 0, 1)
# Häufigkeitstabelle
xtabs(~Verletzung)Verletzung
0 1 2 3
6 11 5 2
# relative Häufigkeiten als Barplot
barplot( table(Verletzung) / length(Verletzung)*100,
col="blanchedalmond", main="relative Häufigkeiten",
ylab="relative Häufigkeit in %", xlab="Verletzungen")
# relative kumulierte Häufigkeiten als Barplot
barplot( cumsum(table(Verletzung)) / sum(table(Verletzung))*100,
col="goldenrod1", main="kumulierte relative Häufigkeiten",
ylab="relative Häufigkeit in %", xlab="Verletzungen")
Mit ggplot
df <- data.frame(Verletzung)
ggplot(df, aes(x=Verletzung))+
geom_bar(aes(y=after_stat(count)/sum(after_stat(count))*100),
fill="blanchedalmond", color="black") +
ylab("relative Häufigkeiten in %")
# kumulierte relative Häufigkeiten
ggplot(df, aes(x=Verletzung))+
ylab("relative Häufigkeiten in %")+
geom_bar(aes(y=cumsum(after_stat(count)/sum(after_stat(count)))*100),
fill="goldenrod1", color="black")
boxplot(Verletzung, col="lightcoral", ylab="Anzahl der Verletzungen")
# mit ggplot
ggplot(df, aes(y=Verletzung)) +
geom_boxplot(fill="lightcoral") +
stat_boxplot(geom="errorbar") +
theme(axis.ticks.x=element_blank(),
axis.text.x=element_blank())
45.6 Lösung zur Aufgabe 44.1.6
Koerpergroesse <- c(179, 173, 181, 170, 158, 174, 172, 166, 194, 185,
162, 187, 198, 177, 178, 165, 154, 188, 166, 171,
175, 182, 167, 169, 172, 186, 172, 176, 168, 187)
hist(Koerpergroesse, breaks=seq(150, 200, 10),
col="aliceblue")
# mit ggplot
as.data.frame(Koerpergroesse) %>%
ggplot(aes(x=Koerpergroesse)) +
geom_histogram(breaks=seq(150, 200, 10),
fill="aliceblue", color="black")
boxplot(Koerpergroesse, col="dodgerblue1")
Es sind keine Ausreißer erkennbar.
45.7 Lösung zur Aufgabe 44.1.7
# lade Daten
load("https://www.produnis.de/R/data/neonates.RData")# Datensatz anschauen
summary(neonates) weight gender age smoke cigarettes
Min. :2.021 male :157 greater than 20:218 No :220 Min. : 0.000
1st Qu.:2.794 female:163 less than 20 :102 Yes:100 1st Qu.: 0.000
Median :3.030 Median : 0.000
Mean :3.026 Mean : 3.891
3rd Qu.:3.267 3rd Qu.: 8.250
Max. :4.182 Max. :22.000
smoke.before apgar1 apgar5
No :185 Min. :2.000 Min. : 2.000
Yes:135 1st Qu.:5.000 1st Qu.: 5.000
Median :6.000 Median : 6.000
Mean :5.628 Mean : 6.213
3rd Qu.:6.000 3rd Qu.: 7.000
Max. :9.000 Max. :10.000
# neue Variable "kritisch"
neonates$kritisch <- FALSE
# nur solche mit APGAR <4 sind kritisch
neonates$kritisch[neonates$apgar1 < 4] <- TRUE
# relative Häufigkeiten
table(neonates$kritisch) / length(neonates$kritisch) * 100
FALSE TRUE
92.1875 7.8125
7,81% der Neugeborenen sind in einem kritischen Zustand.
# neue Variable für die Gewichtsklassifikation
neonates$gewiKat <- cut(neonates$weight,
breaks=seq(2, 4.5, 0.5),
ordered_results=TRUE)
# einfache Häufigkeitstabelle
table(neonates$gewiKat)
(2,2.5] (2.5,3] (3,3.5] (3.5,4] (4,4.5]
22 127 146 24 1
# oder vollständige
jgsbook::freqTable(neonates$gewiKat) Wert Haeufig Hkum Relativ Rkum
1 (2,2.5] 22 22 6.88 6.88
2 (2.5,3] 127 149 39.69 46.57
3 (3,3.5] 146 295 45.62 92.19
4 (3.5,4] 24 319 7.50 99.69
5 (4,4.5] 1 320 0.31 100.00
Das Intervall von 3-3,5kg enthält die meisten Neugeborenen.
# gruppieren
gruppe1 <- neonates$apgar1[neonates$age=="less than 20"]
gruppe2 <- neonates$apgar1[neonates$age=="greater than 20"]
# Jünger als 20
jgsbook::freqTable(gruppe1) Wert Haeufig Hkum Relativ Rkum
1 2 2 2 1.96 1.96
2 3 11 13 10.78 12.74
3 4 16 29 15.69 28.43
4 5 28 57 27.45 55.88
5 6 28 85 27.45 83.33
6 7 12 97 11.76 95.09
7 8 4 101 3.92 99.01
8 9 1 102 0.98 99.99
# Älter als 20
jgsbook::freqTable(gruppe2) Wert Haeufig Hkum Relativ Rkum
1 2 2 2 0.92 0.92
2 3 10 12 4.59 5.51
3 4 22 34 10.09 15.60
4 5 53 87 24.31 39.91
5 6 69 156 31.65 71.56
6 7 34 190 15.60 87.16
7 8 24 214 11.01 98.17
8 9 4 218 1.83 100.00
In der Gruppe der unter-20-jährigen liegt der Prozentsatz an Neugeborenen mit APGAR-Werten kleinergleich 3 bei 12,74%. In der Gruppe der über-20-jährigen liegt der Prozentwert bei 5,51%. Es tritt also in der Gruppe der jüngeren Mütter häufiger auf.
# wir müssen neu klassieren, damit weight KLEINER 2,5kg ist
# Gewichtsklassifikation mit "rigth=FALSE"
neonates$gewiKat <- cut(neonates$weight,
breaks=seq(2, 4.5, 0.5),
right=FALSE, ordered_results=TRUE)
gruppe1 <- neonates$gewiKat[neonates$smoke=="No"]
gruppe2 <- neonates$gewiKat[neonates$smoke=="Yes"]
# Nichtraucherinnen
jgsbook::freqTable(gruppe1) Wert Haeufig Hkum Relativ Rkum
1 [2,2.5) 5 5 2.27 2.27
2 [2.5,3) 75 80 34.09 36.36
3 [3,3.5) 119 199 54.09 90.45
4 [3.5,4) 20 219 9.09 99.54
5 [4,4.5) 1 220 0.45 99.99
# Raucherinnen
jgsbook::freqTable(gruppe2) Wert Haeufig Hkum Relativ Rkum
1 [2,2.5) 17 17 17 17
2 [2.5,3) 52 69 52 69
3 [3,3.5) 27 96 27 96
4 [3.5,4) 4 100 4 100
5 [4,4.5) 0 100 0 100
In der Gruppe der Nichtraucherinnen trat ein Geburtsgewicht kleiner 2,5kg in 2,27% der Fälle auf. Bei den Raucherinnen waren es 17%.
gruppe1 <- neonates$gewiKat[neonates$smoke.before=="No"]
gruppe2 <- neonates$gewiKat[neonates$smoke.before=="Yes"]
# Nichtraucherinnen
jgsbook::freqTable(gruppe1) Wert Haeufig Hkum Relativ Rkum
1 [2,2.5) 2 2 1.08 1.08
2 [2.5,3) 60 62 32.43 33.51
3 [3,3.5) 105 167 56.76 90.27
4 [3.5,4) 18 185 9.73 100.00
5 [4,4.5) 0 185 0.00 100.00
# Raucherinnen
jgsbook::freqTable(gruppe2) Wert Haeufig Hkum Relativ Rkum
1 [2,2.5) 20 20 14.81 14.81
2 [2.5,3) 67 87 49.63 64.44
3 [3,3.5) 41 128 30.37 94.81
4 [3.5,4) 6 134 4.44 99.25
5 [4,4.5) 1 135 0.74 99.99
Die Prävalenz beträgt unter den Nichtraucherinnen 1,08% und unter den Raucherinnen 14,81%.
# neue binäre Variable, ob Gewicht niedrig ist
neonates$gewiLow <- FALSE
neonates$gewiLow[neonates$gewiKat=="[2,2.5)"] <- TRUE
# Kreuztabelle
table(neonates$smoke, neonates$gewiLow)
FALSE TRUE
No 215 5
Yes 83 17
Die Formel für das relative Risiko lautet:
\(\text{relatives Risiko} = \frac{a\cdot(c+d)}{c\cdot(a+b)}\)
# Kreuztabelle als numerische Werte
tab <- as.numeric(table(neonates$smoke, neonates$gewiLow))
# rechne das relative Risiko nach der obigen Formel
( tab[1] * (tab[2]+tab[4]) ) / ( tab[2] * (tab[1]+tab[3]) )[1] 1.177437
Raucherinnen haben ein 1,177437-fach höheres Risiko ein Kind mit niedrigem Gewicht zugebären als Nichtraucherinnen. Die Wahrscheinlichkeit ist in der Raucherinnengruppe also 17,74% höher als bei den Nichtraucherinnen.
# mit R base
barplot(table(neonates$apgar1), col="mistyrose")
# mit ggplot
ggplot(neonates, aes(x=apgar1)) +
geom_bar(color="black", fill="mistyrose")+
scale_x_continuous(breaks=seq(2, 9, 1))
Am häufigsten tritt Wert \(6\) auf.
# mit R base
# plotte das kumulative Balkendiagramm
barplot(cumsum(table(neonates$apgar1))/sum(table(neonates$apgar1)),
col="olivedrab1", main = "kumulierte relative Häufigkeiten")
# Linie bei 50% ziehen
abline(h=0.5, col="blue")
# mit ggplot()
ggplot(neonates, aes(x=apgar1)) +
geom_bar(aes(y=cumsum(after_stat(count)/sum(after_stat(count)))),
fill="olivedrab1", color="black") +
ylab("relative Häufigkeit") +
geom_hline(yintercept= 0.5, color="blue", linewidth=1) +
scale_x_continuous(breaks=seq(2, 9, 1))
Der Median liegt bei \(6\).
# mit R base
gruppe1 <- neonates$apgar1[neonates$smoke=="No"]
gruppe2 <- neonates$apgar1[neonates$smoke=="Yes"]
barplot( table(gruppe1)/sum(table(gruppe1)) *100,
ylab="relative Häufigkeit in %", main="Nichtraucherinnen",
ylim=c(0,35), col="paleturquoise1")
barplot( table(gruppe2)/sum(table(gruppe2)) *100,
ylab="relative Häufigkeit in %", main="Raucherinnen",
ylim=c(0,35), col="paleturquoise4")
# mit ggplot
# Nichtraucherinnen
neonates %>%
filter(smoke=="No") %>%
ggplot(aes(x=apgar1))+
geom_bar(aes(y=after_stat(count)/sum(after_stat(count))*100),
color="black", fill="paleturquoise1")+
scale_x_continuous(breaks=seq(2, 9, 1)) +
ylab("relative Häufigkeit in %") +
ylim(0,35)
# Raucherinnen
neonates %>%
filter(smoke=="Yes") %>%
ggplot(aes(x=apgar1))+
geom_bar(aes(y=after_stat(count)/sum(after_stat(count))*100),
color="black", fill="paleturquoise4") +
scale_x_continuous(breaks=seq(2, 9, 1)) +
ylab("relative Häufigkeit in %") +
ylim(0,35)
Die Kinder der Raucherinnen haben geringere APGAR-Werte.
# mit R base
hist(neonates$weight,
breaks = seq(2, 4.5, 0.5),
col="peachpuff3")
# mit ggplot
ggplot(neonates, aes(x=weight)) +
geom_histogram( breaks = seq(2, 4.5, 0.5),
fill="peachpuff3", color="black")
Die Gewichtsklasse \(3\)kg-\(3,5\)kg enthält die meisten Neugeborenen.
# mit R base
hist(neonates$weight[neonates$smoke=="No"],
breaks=seq(2, 4.5, 0.5), col="springgreen1",
main="Nichtraucherinnen", xlab="Gewichtskategorien",
ylab="relative Häufigkeiten", freq=FALSE)
# Raucherinnen
hist(neonates$weight[neonates$smoke=="Yes"],
breaks=seq(2, 4.5, 0.5), col="springgreen4",
main="Raucherinnen", xlab="Gewichtskategorien",
ylab="relative Häufigkeiten", freq=FALSE)
# mit ggplot
neonates %>%
filter(smoke=="No") %>%
ggplot(aes(x=weight)) +
geom_histogram(aes(y=after_stat(count)/sum(after_stat(count))),
breaks=seq(2, 4.5, 0.5),
fill="springgreen1", color="black") +
ylab("relative Häufigkeiten") + xlab("Geburtsgewicht")
# Raucherinnen
neonates %>%
filter(smoke=="Yes") %>%
ggplot(aes(x=weight)) +
geom_histogram(aes(y=after_stat(count)/sum(after_stat(count))),
breaks=seq(2, 4.5, 0.5),
fill="springgreen4", color="black") +
ylab("relative Häufigkeiten") + xlab("Geburtsgewicht")
Kinder von Raucherinnen haben durchschnittlich weniger Geburtsgewicht.
# mit R base
hist(neonates$weight[neonates$smoke.before=="No"],
breaks=seq(2, 4.5, 0.5), col="steelblue1",
main="Nichtraucherinnen", xlab="Gewichtskategorien",
ylab="relative Häufigkeiten", freq=FALSE)
# Raucherinnen
hist(neonates$weight[neonates$smoke.before=="Yes"],
breaks=seq(2, 4.5, 0.5), col="steelblue4",
main="Raucherinnen", xlab="Gewichtskategorien",
ylab="relative Häufigkeiten", freq=FALSE)
# mit ggplot
neonates %>%
filter(smoke.before=="No") %>%
ggplot(aes(x=weight)) +
geom_histogram(aes(y=after_stat(count)/sum(after_stat(count))),
breaks=seq(2, 4.5, 0.5),
fill="steelblue1", color="black") +
ylab("relative Häufigkeiten") + xlab("Geburtsgewicht")
# Raucherinnen
neonates %>%
filter(smoke.before=="Yes") %>%
ggplot(aes(x=weight)) +
geom_histogram(aes(y=after_stat(count)/sum(after_stat(count))),
breaks=seq(2, 4.5, 0.5),
fill="steelblue4", color="black") +
ylab("relative Häufigkeiten") + xlab("Geburtsgewicht")
Kinder von Müttern, die vor der Schwangerschaft geraucht haben, haben durchschnittlich weniger Geburtsgewicht.
# mit R base
boxplot(neonates$weight, col="thistle")
# mit ggplot()
ggplot(neonates, aes(y=weight)) +
geom_boxplot(fill="thistle") +
stat_boxplot(geom="errorbar") +
theme(axis.ticks.x=element_blank(),
axis.text.x=element_blank())
# Zusammenfassung
summary(neonates$weight) Min. 1st Qu. Median Mean 3rd Qu. Max.
2.021 2.794 3.030 3.026 3.267 4.182
Gewichte zwischen \(2,794\)kg und \(3,267\)kg können als normal angesehen werden. Es gibt je einen Ausreißer nach oben und nach unten.
# R base
boxplot(weight ~ smoke, data=neonates)
# Alterkategorie
boxplot(weight ~ age, data=neonates)
# ggplot Rauchen
ggplot(neonates, aes(y=weight, x=smoke)) +
geom_boxplot() +
stat_boxplot(geom="errorbar") +
theme(axis.ticks.x=element_blank(),
axis.text.x=element_blank())
# 20 Jahre alt
ggplot(neonates, aes(y=weight, x=age)) +
geom_boxplot() +
stat_boxplot(geom="errorbar") +
theme(axis.ticks.x=element_blank(),
axis.text.x=element_blank())
Das Gewicht ist in der Gruppe der Raucherinnen und in der Gruppe der unter-20jährigen geringer.
# daten tidy machen
df <- pivot_longer(neonates, apgar1:apgar5,
names_to = "minute",
values_to = "wert")
# boxplot
boxplot(wert ~ minute, data=df)
# ggplot
ggplot(df, aes(y=wert, fill=minute)) +
geom_boxplot() +
stat_boxplot(geom="errorbar") +
theme(axis.ticks.x=element_blank(),
axis.text.x=element_blank())
Die Streuung in apgar5 ist größer.